تعريفات وقوانين علمية

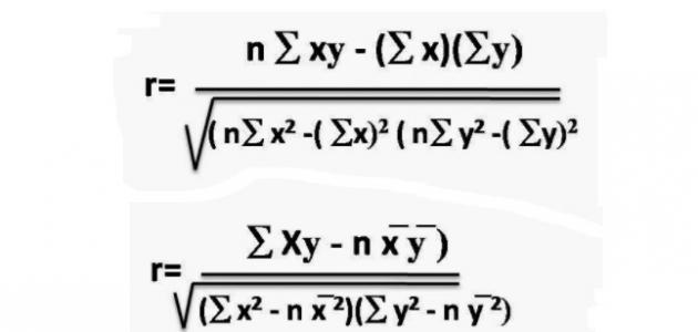
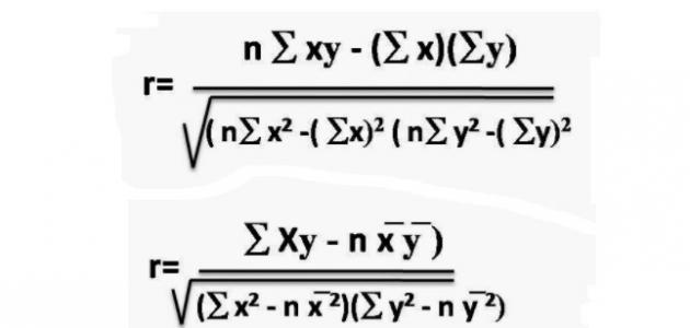
قانون معامل بيرسون

قانون معامل بيرسون

يعتبر معامل بيرسون من أهم وأكثر المعاملات المُستخدمة في المواد العلمية، وبشكل خاص في العلوم الإنسانية والاجتماعية، وعند تطبيق قانونه يجب أن يكون كلا المتغيرين بيانات كمية، وبمعنى آخر يجب أن يكون كلا المتغيرين مقياساً نسبياً أو فترة.

مقالات ذات صلة

يُمكن حساب معامل بيرسون للارتباط الخطي بدلالة المتغيرين (س، ص) باستخدام الصيغتين الرياضيتين الآتيتين:

  • معامل بيرسون= [ن مجموع (س ص)-(مجموع س) (مجموع ص)]’/’[ن(مجموع س2)-(مجموع س)2]0.5[ن(مجموع ص2)-(مجموع ص)2].
  • معامل بيرسون= [مجموع( س ص)/ن-(معدل س (معدل ص)]’/’[(الانحراف المعياري للمتغير س) (الانحراف المعياري للمتغير ص)].

إليك هذا الجدول الذي يبين حجم الإنتاج وحجم صادرات النفط خلال عدة سنوات:

حجم الصادرات (ص) حجم الإنتاج (س)
2 3
2 4
2 2
1 2
1 2
1 2

المسألة:

أوجد معامل بيرسون للارتباط الخطي بين حجم الإنتاج وحجم صادرات النفط

الحل :

س ص س ص س2 ص2
3 2 6 9 4
4 2 8 16 4
2 2 4 4 4
2 1 2 4 1
2 1 2 4 1
2 1 2 4 1
مجموع س=15 مجموع ص=9 مجموع س ص=24 مجموع س2=41 مجموع ص2= 15

باستخدام قانون بيرسون للارتباط الخطي فإنّ: معامل بيرسون=[6(24)-(15) (9)]/[((6×41)-152) ((6×15)-92)]0.5= 0.65

يمثل الجدول الآتي علاقة صادرات المملكة العربية بالميزان التجاري خلال 7 سنوات، حيث إنّ س تُمثل الصادرات، وص تُمثل قيمة الميزان التجاري:

ص س
1 9
3 11
8 17
7 18
6 19
5 16
7 16
8 19
12 23
12 23

المسألة:

أوجد معامل بيرسون للارتباط الخطي بين صادرات المملكة العربية السعودية وقيمة الميزان التجاري

الحل :

س ص س ص س2 ص2
9 1 9 81 1
11 3 33 121 9
17 8 136 289 64
18 7 126 324 49
19 6 114 361 36
16 5 80 256 25
16 7 112 256 49
19 8 152 361 64
23 12 276 529 144
23 12 276 529 144
مجموع س=171 مجموع ص=69 مجموع س ص=1314 مجموع س2=3107 مجموع ص2=585

بتطبيق قانون معامل بيرسون للارتباط الخطي نجد أنَّه يُساوي 0.95

ملاحظة: إذا كان مقدار معامل بيرسون يُساوي صفراً فإنّ ذلك لا يعني عدم وجود ارتباط بين المتغيرين (س ص)، لكن من الممكن أن يكون الارتباط غير خطي.

مقالات ذات صلة

زر الذهاب إلى الأعلى
إغلاق

أنت تستخدم إضافة Adblock

برجاء دعمنا عن طريق تعطيل إضافة Adblock